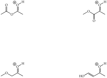
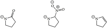
- For the following structures, draw all of the resonances structures that contribute to the stability of the molecule or ion. With the exception of the first neutral structure, do not introduce additional charges beyond the single charge given. Head’s up, "c" has 11 unique structures, 13 if you count the ring movement where the charge doesn’t actually move.
